Know Your Rights

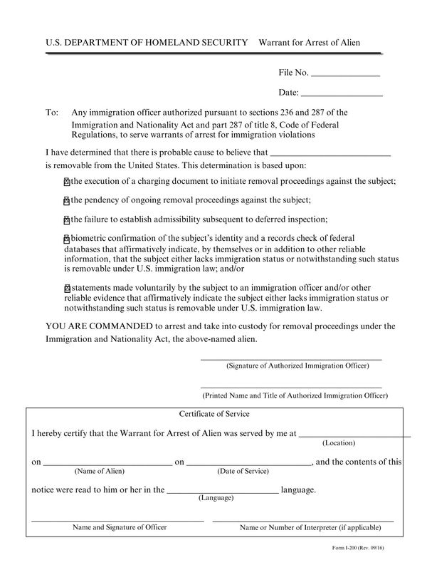
ICE does not have the right to enter your home with this warrant, form I-200.

ICE or the police have the right to enter your home if they have a Court Warrant signed off by a judge.
We are here to help. Call us to schedule a consultation.
Open today | 09:00 am – 05:00 pm |
Copyright © 2025 The Buitron Law Firm, P.C. - All Rights Reserved.
We use cookies to analyze website traffic and optimize your website experience. By accepting our use of cookies, your data will be aggregated with all other user data.